NCERT Solutions for Class 12 Maths Chapter 1 Relations and Functions (2025 Updated)

NCERT Solutions for Class 12 Maths Chapter 1: Relations and Functions

📘 Step-by-Step Answers | Free Access | 2025 Updated

Chapter 1 Relations and Functions is the foundation of advanced mathematics. It introduces students to the concept of relations, different types of functions, and their applications. Mastering this chapter is crucial for scoring well in CBSE Class 12 Board Exams as well as competitive exams like JEE Main & Advanced.

Below you can view complete step-by-step NCERT Solutions for Class 12 Maths Chapter 1 in image format. All solutions are prepared by subject experts and based on the latest CBSE 2025 syllabus.

📖 Chapter Overview – Relations and Functions

  • Types of Relations
  • Domain, Codomain, and Range of Functions
  • Types of Functions
  • Composition of Functions
  • Invertible Functions
  • Graphical Representation of Functions

🖼️ NCERT Solutions – Chapter 1 (Relations and Functions)

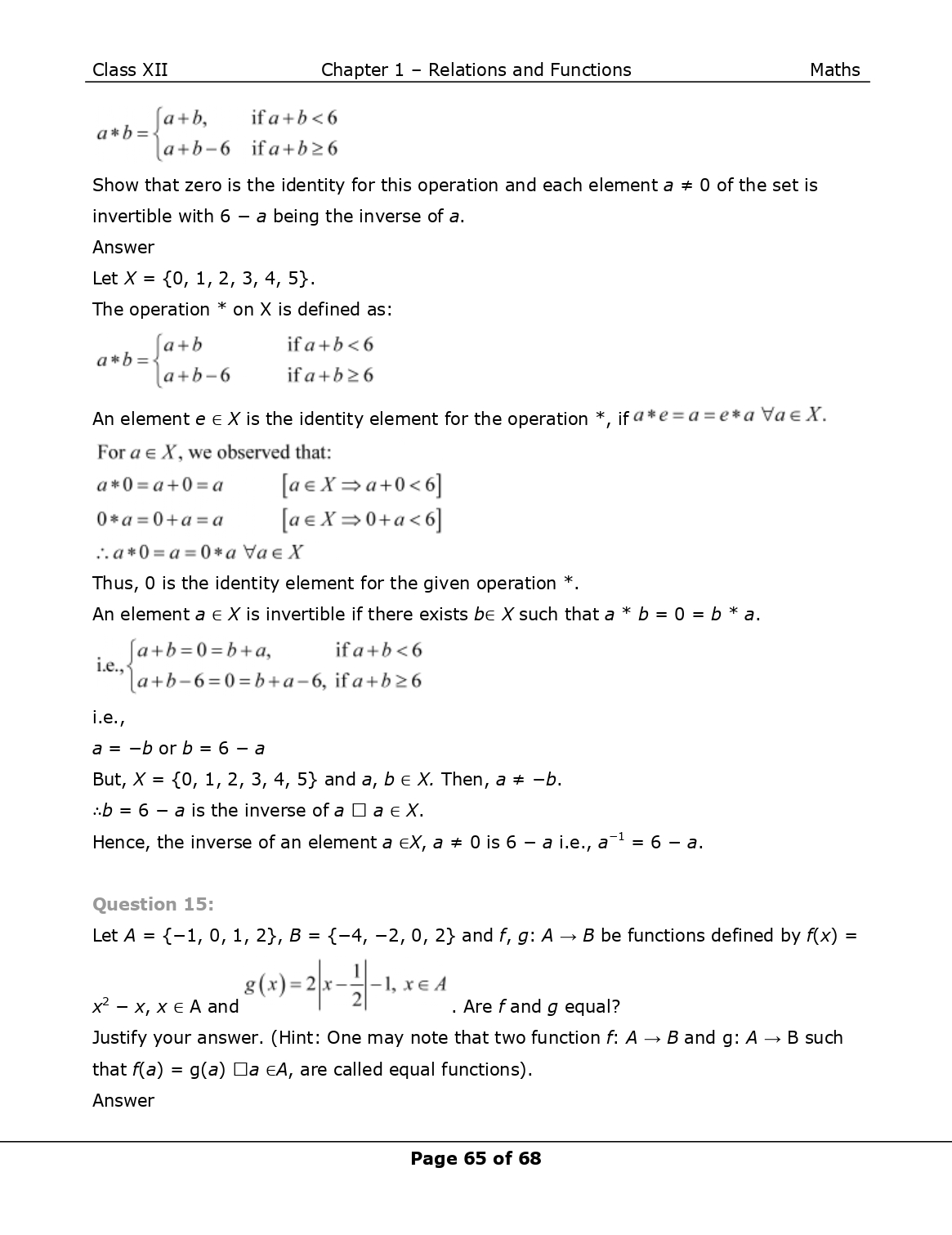
NCERT Class 12 Maths Chapter 1 Relations and Functions Solutions Page 1 NCERT Class 12 Maths Chapter 1 Relations and Functions Solutions Page 2 NCERT Class 12 Maths Chapter 1 Relations and Functions Solutions Page 3 NCERT Class 12 Maths Chapter 1 Relations and Functions Solutions Page 4 NCERT Class 12 Maths Chapter 1 Relations and Functions Solutions Page 5 NCERT Class 12 Maths Chapter 1 Relations and Functions Solutions Page 63 NCERT Class 12 Maths Chapter 1 Relations and Functions Solutions Page 64 NCERT Class 12 Maths Chapter 1 Relations and Functions Solutions Page 65 NCERT Class 12 Maths Chapter 1 Relations and Functions Solutions Page 66 NCERT Class 12 Maths Chapter 1 Relations and Functions Solutions Page 67

⭐ Why Use These NCERT Solutions?

  • Step-by-step detailed answers in clear handwriting
  • Based on the latest CBSE 2025 syllabus
  • Easy-to-understand explanations
  • Helpful for both board exams and JEE preparation

💡 Study Tips for Relations and Functions

  • Practice questions on your own before checking the solutions.
  • Revise important formulas like domain, range, and types of functions.
  • Use graphs to visualize and strengthen your concepts.
  • Focus on composition and inverse functions – they are often asked in exams.
Scroll to Top